공지사항

기부현황2025년도 후원금 수입/지출 결산 공지

2026-02-05
조회수 141

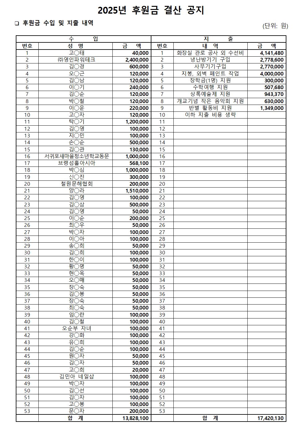
2025년 후원금 수입/지출 결산 공지합니다. 덕분에 학교운영에 많은 도움이 되었습니다. 진심으로 감사드립니다.

82cabbe3bc9ae.jpg

 



이용약관  |  개인정보처리방침

주소: 제주특별자치도 서귀포시 중동로 43-2 (서귀동) 서귀포 오석학교

사업자등록번호: 616-82-12063  |  TEL: 064-762-2487  |  FAX: 064-762-2488

Copyright©서귀포오석학교. All rights reserved.  |  Hosting by 보구정제주

농협 977-01-060204       (예금주 : 서귀포오석학교)

제주은행 23-01-060947  (예금주 : 서귀포오석학교)

학교로 연락을 주시거나 방문해주시면 상담해드리겠습니다.

학교 발전을 위한 후원금은 전액 세제 혜택을 받으실 수 있습니다.